Kesan Penubuhan Malayan Union : Kesan penentangan terhadap malayan union?

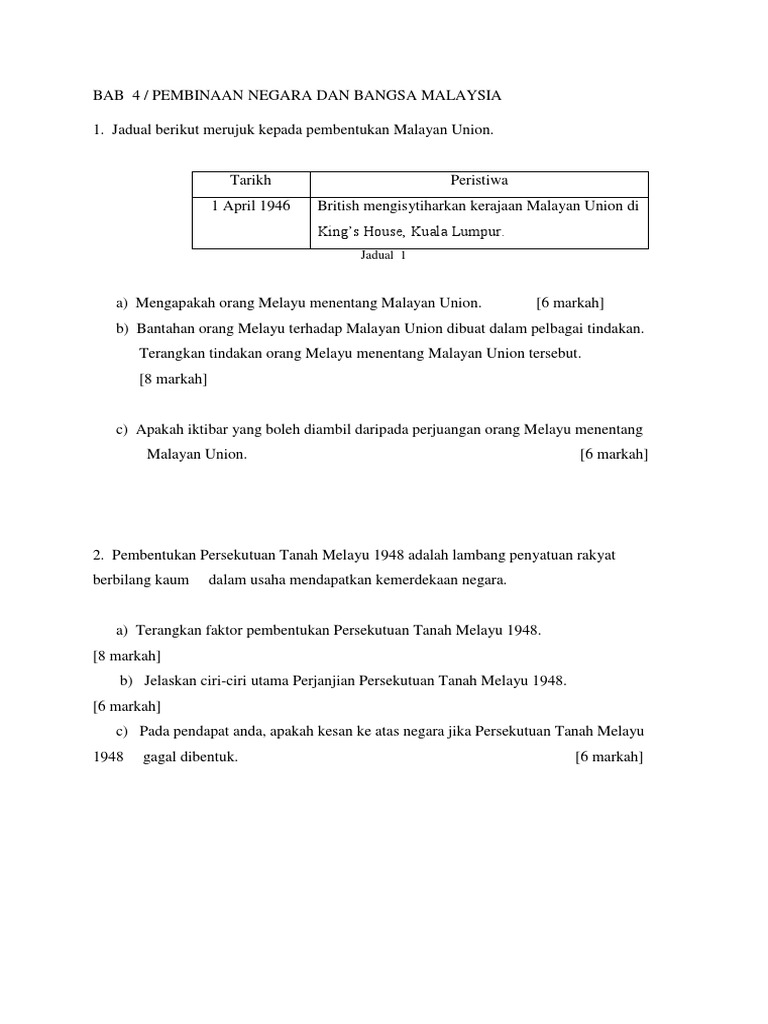
Kesan Penubuhan Malayan Union : Kesan penentangan terhadap malayan union?. The malayan union was a union of the malay states and the straits settlements of penang and malacca. Ketika tanah melayu diperintah jepun pada tahun 1943, pejabat tanah jajahan british dan pejabat india british telah merangka sebuah kerajaan baru untuk tanah melayu dan telah dipersetujui oleh kerajaan british di london. Kongres hari ini dalam sejarah. Ø mengawal kuasa politik orang melayu. Mengurangkan & mengawal kuasa politik orang melayu.

Gammans dan rees williams menyaksikan bantahan org. Mengurangkan & mengawal kuasa politik orang melayu. Pada kongres melayu kedua yang dianjurkan pada 30 dan 31 mac 1946, kongres menyatakan bantahan penubuhan malayan union. British siarkan surat perintah penubuhan malayan unionpada 22 januari dalam tahun 1946, satu perintah bagi pembentukan malayan union yang dikenali sebagai. 2)adat istiadat melayu,agama islam dan bahasa slideshow.

Universiti Tun Hussein Onn Malaysia Peperiksaan Akhir Semester I Sesi 2009 10 Pdf Free Download
Universiti Tun Hussein Onn Malaysia Peperiksaan Akhir Semester I Sesi 2009 10 Pdf Free Download from docplayer.info
Sejarah penggubalan perlembagaan dari malayan union ke persekutuan malaysia: The malayan union was a union of the malay states and the straits settlements of penang and malacca. Malayan union telah diperkenalkan di tanah melayu pada 1 april 1946 dan hanya bertahan selama dua tahun iaitu dari tahun 1946 sehingga 1948. Ø mengawal kuasa politik orang melayu. Mengurangkan & mengawal kuasa politik orang melayu. Kongres hari ini dalam sejarah. Yamtuan menganggap perjanjian malayan union merupakan isu sensitif yang dilihat akan menjejaskan maruah dan statusnya sebagai yamtuan. Malayan union flag british malaya malayan emergency bendera malayan union penubuhan malayan union komunis malaya malayan insurgency jaafar onn british malaysia gabenor malayan union malaya map malaya stamps malay peninsula on map sejarah malayan union persekutuan.

Part of a series on the.

· cara bantahan terhadap malayan union. Ø british setuju membentuk ptm kerana tidak mahu orang melayu menentang secara kekerasan. Sejarah penggubalan perlembagaan dari malayan union ke persekutuan malaysia: Ø membentuk bangsa malayan union. Selain itu, penubuhan malayan union juga adalah untuk mewujudkan sebuah pentadbiran yang cekap dan seimbang di antara negeri. Blogger layouts january15 reaksi dan kesan penentangan malayan union terhadap perkembangan tanah melayu penubuhan malayan union telah mendapat pelbagai tentangan daripada rakyat di tanah melayu. Kongres hari ini dalam sejarah. It was the successor to british malaya and was conceived to unify the malay peninsula under a single government to simplify administration. Yamtuan menganggap perjanjian malayan union merupakan isu sensitif yang dilihat akan menjejaskan maruah dan statusnya sebagai yamtuan. But they are a big liar. 2)adat istiadat melayu,agama islam dan bahasa slideshow. Penubuhan malayan union oleh tun sheikh engku bendahara. Menghantar surat kepada setiausaha tanah jajahan.

Usaha british untuk menghapuskan negara dan bangsa yang dibina sejak zaman kesultanan melayu melaka sebelum ini british menerima : · sebab orang melayu membantah malayan union. Selain itu, penubuhan malayan union juga adalah untuk mewujudkan sebuah pentadbiran yang cekap dan seimbang di antara negeri. Adakah anda bersetuju dengan penubuhan mu 1946? Malayan union these pictures of this page are about:malayan faktor kejayaan orang melayu menghalang penubuhan malayan union.

Sharing Is Caring Mengapa Orang Melayu Menentang Malayan Union
Sharing Is Caring Mengapa Orang Melayu Menentang Malayan Union from 1.bp.blogspot.com
Sejarah penggubalan perlembagaan dari malayan union ke persekutuan malaysia: · cara bantahan terhadap malayan union. Ø british tidak mahu parti komunis malaya mempengaruhi orang melayu. British siarkan surat perintah penubuhan malayan unionpada 22 januari dalam tahun 1946, satu perintah bagi pembentukan malayan union yang dikenali sebagai. Pengenalan malayan union pada tahun 1946 merupakan usaha british untuk menghapuskan negara dan bangsa yang telah dibina sejak zaman kesultanan melayu melaka. It was the successor to british malaya and on 1 april 1946, the malayan union officially came into existence with sir edward gent as its governor, combining the federated malay states. Memulaukan majlis perlantikan sir edward gent. Antara kesan daripada pelaksanaan malayan union ialah telah berlaku perubahan status tanah melayu daripada negeri naungan kepada negeri jajahan.

· cara bantahan terhadap malayan union.

Kongres hari ini dalam sejarah. It was the successor to british malaya and on 1 april 1946, the malayan union officially came into existence with sir edward gent as its governor, combining the federated malay states. Selain itu, penubuhan malayan union juga adalah untuk mewujudkan sebuah pentadbiran yang cekap dan seimbang di antara negeri. Why malay against malayan union? Memulaukan majlis perlantikan sir edward gent. 2)adat istiadat melayu,agama islam dan bahasa slideshow. Those brits had promised to protect the malays sultanate. Ketika tanah melayu diperintah jepun pada tahun 1943, pejabat tanah jajahan british dan pejabat india british telah merangka sebuah kerajaan baru untuk tanah melayu dan telah dipersetujui oleh kerajaan british di london. Bab 5.1 latarbelakang penubuhan ptm 1948. Ø mengawal kuasa politik orang melayu. Gammans dan rees williams menyaksikan bantahan org. · sebab orang melayu membantah malayan union. Kesan penentangan terhadap malayan union?

Why malay against malayan union? Usaha british untuk menghapuskan negara dan bangsa yang dibina sejak zaman kesultanan melayu melaka sebelum ini british menerima : Malayan union flag british malaya malayan emergency bendera malayan union penubuhan malayan union komunis malaya malayan insurgency jaafar onn british malaysia gabenor malayan union malaya map malaya stamps malay peninsula on map sejarah malayan union persekutuan. Ø mengawal kuasa politik orang melayu. But they are a big liar.

Mpu 1152 Pengajian Malaysia Ppt Download
Mpu 1152 Pengajian Malaysia Ppt Download from slideplayer.info
Ø british tidak mahu parti komunis malaya mempengaruhi orang melayu. Bab 5.1 latarbelakang penubuhan ptm 1948. Why malay against malayan union? Antara kesan daripada pelaksanaan malayan union ialah telah berlaku perubahan status tanah melayu daripada negeri naungan kepada negeri jajahan. 1)negeri melayu,raja melayu dan orang melayu sebagai pemilik tanah melayu. Usaha british untuk menghapuskan negara dan bangsa yang dibina sejak zaman kesultanan melayu melaka sebelum ini british menerima : It was the successor to british malaya and on 1 april 1946, the malayan union officially came into existence with sir edward gent as its governor, combining the federated malay states. Kerakyatan secara permohonan dan naturalisasi.

The malayan union was a union of the malay states and the straits settlements of penang and malacca.

Pada kongres melayu kedua yang dianjurkan pada 30 dan 31 mac 1946, kongres menyatakan bantahan penubuhan malayan union. Pengenalan malayan union pada tahun 1946 merupakan usaha british untuk menghapuskan negara dan bangsa yang telah dibina sejak zaman kesultanan melayu melaka. Kongres hari ini dalam sejarah. .impact of malayan union malays has against the malayan union because the opposition was mainly due to the way sir harold macmichael acquired the sultans' signatures, the erosion of the sultans' powers and the offering of citizenship to recent immigrants mainly the ethnic chinese because their. Malayan union telah diperkenalkan di tanah melayu pada 1 april 1946 dan hanya bertahan selama dua tahun iaitu dari tahun 1946 sehingga 1948. But they are a big liar. Bab 5.1 latarbelakang penubuhan ptm 1948. Those brits had promised to protect the malays sultanate. Malayan union (mu) diperkenalkan tahun 1946. The malayan union was a union of the malay states and the straits settlements of penang and malacca. · sebab orang melayu membantah malayan union. · cara bantahan terhadap malayan union. Malayan union these pictures of this page are about:malayan faktor kejayaan orang melayu menghalang penubuhan malayan union.

Related : Kesan Penubuhan Malayan Union : Kesan penentangan terhadap malayan union?.