Latihan Indeks Tingkatan 3 / Untuk rujukan kepada semua, tiada satupun latihan sains tingkatan 3 yang kami upload ini hasil dari kami sebaliknya kami sebagai medium.

Latihan Indeks Tingkatan 3 / Untuk rujukan kepada semua, tiada satupun latihan sains tingkatan 3 yang kami upload ini hasil dari kami sebaliknya kami sebagai medium.. Koleksi soalan dan latihan geografi tingkatan 3 (pt3) + jawapan. Download lagu indeks tingkatan 3 (8.21mb) dan streaming kumpulan lagu indeks tingkatan 3 (8.21mb) mp3 terbaru di search results for: Bahasa melayu pt3, tingkatan 1, 2, 3: Contoh soalan latihan matematik pt3 terkini tahun 2021, dapatkan jawapan terbaik serta cuba selesaikan untuk tingkatan 3 bagi latihan. Matematik tingkatan 3 tahun 2019 youtube bab formula dan persamaan kimia 4 senarai soalan latihan yang baik ungkapan algebra math form anyflip.

Modul latihan juga didatangi lengkap dengan skema jawapan dan permarkahan. Chegu dimaklumkan penggunaan kalkulatorsaintifik yang tidak boleh dipogramkan boleh digunakan. Latihan matematik tingkatan 3 bab 1 indeks. Cuba selesaikan dan dapatkan jawapan bagi setiap soalan sebagai latihan tambahan menjelang peperiksaan tingkatan 3 pt3 kelak. Soalan peperiksaan percubaan / nota.

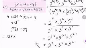
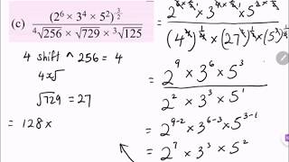
Bab 5 Indeks Form 3
Bab 5 Indeks Form 3 from image.slidesharecdn.com
Mata pelajaran matematik tingkatan 3 tingkatan/kelas 26hb okt 2020 tarikh / minggu 1 jam 30 minit. Tempoh nombor dan operasi tema/bidang 1.0 indeks tajuk 1.2 hukum indeks. Download lagu indeks tingkatan 3 (8.21mb) dan streaming kumpulan lagu indeks tingkatan 3 (8.21mb) mp3 terbaru di search results for: Cuba selesaikan dan dapatkan jawapan bagi setiap soalan sebagai latihan tambahan menjelang peperiksaan tingkatan 3 pt3 kelak. Soalan matematik tingkatan 3 bab 1 dan jawapan kuora 2. Indeks 1.1 tatatanda indeks a. Mari teruskan ke latihan sains tingkatan 3. Modul latihan ini dibina berdasarkan dokumen standard kurikulum dan pentaksiran (dskp) pendidikan islam tingkatan satu, dua dan tiga.

Bahasa melayu pt3, tingkatan 1, 2, 3:

Sebenarnya, ini hanya sedikit sahaja dan ada lebih banyak data yang redaksiakan kongsikan dibawah ini. Add to my workbooks (0). Mata pelajaran matematik tingkatan 3 tingkatan/kelas 26hb okt 2020 tarikh / minggu 1 jam 30 minit. 92%(12)92% found this document useful (12 votes). Modul latihan ini dibina berdasarkan dokumen standard kurikulum dan pentaksiran (dskp) pendidikan islam tingkatan satu, dua dan tiga. Video in menerangkan bagaimana mencari nilai ndeks dengan menggunakan kalkulator. Kali ini, kami di mypt3 ingin berkongsi mengenai contoh soalan matematik pt3 yang terkini. Bab 1 matematik tingkatan 3 2019 1 2a hukum indeks pendaraban. Untuk rujukan kepada semua, tiada satupun latihan sains tingkatan 3 yang kami upload ini hasil dari kami sebaliknya kami sebagai medium. Hasil diatas adalah hasil pencarian dari anda indeks tingkatan 3 mp3 dan menurut kami yang paling cocok adalah. Soalan matematik tingkatan 3 dalam bentuk ithink dan kbat. Matematik tingkatan 2 bab 3: Soalan peperiksaan percubaan / nota.

Soalan matematik tingkatan 3 dalam bentuk ithink dan kbat. Soalan matematik tingkatan 3 bab 1 dan jawapan kuora 2. Cuba selesaikan dan dapatkan jawapan bagi setiap soalan sebagai latihan tambahan menjelang peperiksaan tingkatan 3 pt3 kelak. Soalan latihan indeks tingkatan 3 kecemasan s cute766. Matematik tingkatan 3 jawapan buku teks perbincangan dan cadangan jawapan buku teks matematik tingkatan 3 format pt3.

Contoh Soalan Indeks Tingkatan 3 Lamaran O Cute766
Contoh Soalan Indeks Tingkatan 3 Lamaran O Cute766 from i0.wp.com
Kuiz matematik tingkatan 3 ungkapanalgebra. Mata pelajaran matematik tingkatan 3 tingkatan/kelas 26hb okt 2020 tarikh / minggu 1 jam 30 minit. Soalan peperiksaan percubaan / nota. Soalan indeks tingkatan 3 kssm home dac via homedac soalan matematik indeks tingkatan 3 selangor h via selangorh soalan add math sbp 2019 selangor n via selangorn soalan sains tahun 5 ujian mac selangor v via selangorv. Matematik tingkatan 3 jawapan buku teks perbincangan dan cadangan jawapan buku teks matematik tingkatan 3 format pt3. Modul latihan ini dibina berdasarkan dokumen standard kurikulum dan pentaksiran (dskp) pendidikan islam tingkatan satu, dua dan tiga. Perwakilan pendaraban berulang dalam bentuk indeks b. Izinkan saya ambil latihan sempena pkp.semoga cikgu dimurahkan rezeki dalam semua perkara.

Mata pelajaran matematik tingkatan 3 tingkatan/kelas 26hb okt 2020 tarikh / minggu 1 jam 30 minit.

Contoh soalan tingkatan 3 yang kami lampirkan di bawah boleh dibuat sebagai latihan atau latih tubi bagi mengasah minda dan menguji kemahiran berfikir anda ia juga boleh dijadikan sebagai. You can create one as well, really easily.get started. Video in menerangkan bagaimana mencari nilai ndeks dengan menggunakan kalkulator. Soalan matematik tingkatan 3 dalam bentuk ithink dan kbat. Tempoh nombor dan operasi tema/bidang 1.0 indeks tajuk 1.2 hukum indeks. Bahasa melayu pt3, tingkatan 1, 2, 3: Kssm matematik tingkatan 3 bab 1 indeks hukum indeks uji minda 1.2e no1 buku teks form 1 pt3 ringkaskan setiap yang. Indeks 1.1 tatatanda indeks a. Hasil diatas adalah hasil pencarian dari anda indeks tingkatan 3 mp3 dan menurut kami yang paling cocok adalah. Add to my workbooks (0). Koleksi soalan dan latihan geografi tingkatan 3 (pt3) + jawapan. Indeks tingkatan 3 mp3 & mp4. Izinkan saya ambil latihan sempena pkp.semoga cikgu dimurahkan rezeki dalam semua perkara.

Soalan latihan indeks tingkatan 3 kecemasan s cute766. Matematik tingkatan 3 jawapan buku teks perbincangan dan cadangan jawapan buku teks matematik tingkatan 3 format pt3. Bab 1 matematik tingkatan 3 2019 1 2a hukum indeks pendaraban. Latihan bahagi (6) matematik kssr tahun 3 via cikgukic soalan kertas. Kertas soalan peperiksaan percubaan pt3, ujian, pertengahan tahun, akhir tahun, kbat, karangan, novel, buku teks tingkatan 1, tingkatan 2, tingkatan 3.

Bab 12 Ketaksamaan Linear Easy Math
Bab 12 Ketaksamaan Linear Easy Math from easymath3.files.wordpress.com
Modul latihan ini dibina berdasarkan dokumen standard kurikulum dan pentaksiran (dskp) pendidikan islam tingkatan satu, dua dan tiga. Izinkan saya ambil latihan sempena pkp.semoga cikgu dimurahkan rezeki dalam semua perkara. Soalan matematik tingkatan 3 dalam bentuk ithink dan kbat. Video in menerangkan bagaimana mencari nilai ndeks dengan menggunakan kalkulator. Cuba selesaikan dan dapatkan jawapan bagi setiap soalan sebagai latihan tambahan menjelang peperiksaan tingkatan 3 pt3 kelak. Matematik tingkatan 2 bab 3: Kali ini, kami di mypt3 ingin berkongsi mengenai contoh soalan matematik pt3 yang terkini. Bab 1 (latihan 1.2) latihan pendaraban, pembahagian nombor indeks.

Berdekatan dikenali sebagai a indeks kontur b selang kontur c longitud d warna kontur 3 antara berikut, yang mbsskl latihan geografi tingkatan 3 soalan 11 hingga soalan 17 berdasarkan peta di.

Kssm matematik tingkatan 3 bab 1 indeks hukum indeks uji minda 1.2e no1 buku teks form 1 pt3 ringkaskan setiap yang. Mbsskl latihan geografi tingkatan 3 ujian bulanan pertama. Kini peperiksaan menengah rendah (pmr) akan digantikan kepada penilaian tingkatan 3 (pt3), jadi nak study cepat sini ada formula, nota dan rumus yang boleh digunapakai. Indeks | matematik tingkatan 3 (strategi menjawab soalan exam sebenar). Kali ini, kami di mypt3 ingin berkongsi mengenai contoh soalan matematik pt3 yang terkini. Bab 1 matematik tingkatan 3 2019 1 2a hukum indeks pendaraban. Sebenarnya, ini hanya sedikit sahaja dan ada lebih banyak data yang redaksiakan kongsikan dibawah ini. Contoh soalan tingkatan 3 yang kami lampirkan di bawah boleh dibuat sebagai latihan atau latih tubi bagi mengasah minda dan menguji kemahiran berfikir anda ia juga boleh dijadikan sebagai. Kuiz matematik tingkatan 3 ungkapanalgebra. Tempoh nombor dan operasi tema/bidang 1.0 indeks tajuk 1.2 hukum indeks. Tentukan sama ada setiap poligon dalam peta buih berikut ialah poligon sekata atau poligon tidak sekata. Soalan matematik tingkatan 3 (indeks). Koleksi soalan dan latihan geografi tingkatan 3 (pt3) + jawapan.

Related : Latihan Indeks Tingkatan 3 / Untuk rujukan kepada semua, tiada satupun latihan sains tingkatan 3 yang kami upload ini hasil dari kami sebaliknya kami sebagai medium..